Ceny odsprzedaży iPhone'a prawdopodobnie spadną nawet o 16% po premierze iPhone'a 14
Opublikowany: 2022-09-02– Ceny wymiany iPhone’a spadają do 16% po wprowadzeniu nowego iPhone’a. Przed premierą iPhone’a 13 iPhone 12 Pro Max 512 GB stracił 15,7% w ciągu jednego miesiąca
– iPhone 11 256 GB stracił ponad 14% wartości odsprzedaży w ciągu miesiąca po premierze iPhone’a 13
– iPhone 12 Pro Max 256 GB stracił 121 USD na wartości w tydzień po premierze iPhone’a 13
Do tej pory wszyscy wiemy, że nowe smartfony (lub jakakolwiek technologia) tracą na wartości dosłownie dzień po premierze. To samo możemy powiedzieć o poprzedniej generacji smartfonów, które zawsze tracą kupę wartości, gdy marka ogłasza swojego następcę, a tym bardziej, gdy najnowsza iteracja trafia na półki.
To samo można ogólnie powiedzieć o iPhonie. Podczas gdy ostatnie telefony wykazywały nieco dziwne zachowanie — w niektórych przypadkach odzyskując niewielki procent utraconej wartości — trendy deprecjacji wartości na przestrzeni lat pokazują, że dziecko Apple nie jest odporne na skutki rynkowe odczuwane przez każdą inną markę smartfonów. Chociaż iPhone może zachować największą wartość w porównaniu z jakimkolwiek innym telefonem, iPhone również odnotowuje spadek wartości, zwłaszcza gdy Apple ogłasza nową generację.
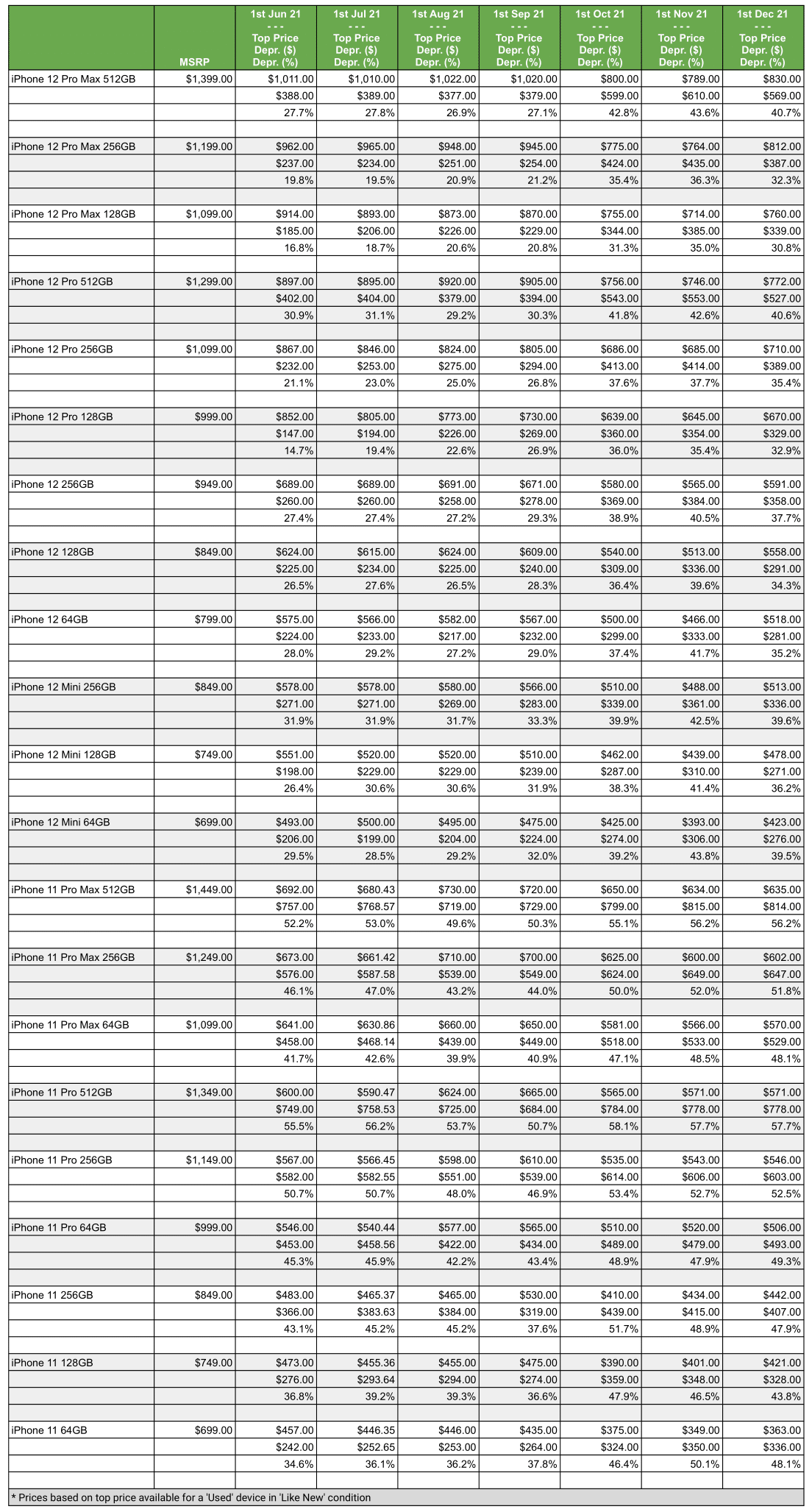
SellCell przeanalizował dane dotyczące wartości iPhone'a 11 i 12 od 1 czerwca 2021 do 1 grudnia 2021, koncentrując się w szczególności na miesiącu ogłoszenia iPhone'a 13; Wrzesień 2021. Analizując te statystyki, staje się jasne, co prawdopodobnie stanie się z wartością iPhone'a 13, gdy Apple ogłosi serię 14 we wrześniu 2022 roku. Zasadniczo, jeśli właściciel iPhone'a myśli o wymianie swojego iPhone'a, nie powinien tego robić poczekaj, albo straci więcej wartości po premierze iPhone'a 14.
Oto dlaczego właściciele iPhone'ów powinni myśleć „Sprzedam iPhone'a teraz” zamiast „Sprzedam iPhone'a później”…
Uwaga: na potrzeby tego raportu firma SellCell przeanalizowała dane dotyczące sprzedaży telefonów w stanie „jak nowe”. Trendy są podobne dla telefonów w „dobrym” stanie.
Główne wnioski
- W miesiąc po premierze serii iPhone 13 iPhone 12 Pro Max 512 GB stracił 15,7% swojej wartości. Od września do listopada po premierze iPhone'a 13 amortyzacja wzrosła do 16,5%.
- iPhone 11 256 GB wypadł nieco lepiej, stracił na wartości nawet o 14,1%, a następnie odzyskał część utraconej wartości, z amortyzacją 11,3% do listopada po premierze iPhone'a 13.
- Między 1 września 2021 a 1 grudnia 2021 iPhone 12 Pro Max 512 GB stracił na wartości 190 USD, a iPhone 11 Pro Max 512 GB stracił 85 USD.
- Niezależnie od modelu, wszystkie telefony iPhone 12 i iPhone 11 straciły znaczną wartość we wrześniu 2021 r., miesiącu ogłoszenia iPhone'a 13.
- Pomimo tej utraty wartości po premierze iPhone'a 13, wiele modeli iPhone'a 12 i iPhone'a 11 odnotowało pewien wzrost wartości między 1 listopada a 1 grudnia 2021 roku.
Streszczenie
Trendy pokazują, że ci, którzy obecnie siedzą na iPhonie i czekają na wymianę, powinni to robić ostrożnie, szczególnie w obliczu zbliżającego się wprowadzenia iPhone'a 14.

Jak pokazuje powyższa tabela, nawet iPhone’y premium nie są bezpieczne przed śliskim zboczem, który przynosi wrzesień. Apple konsekwentnie ogłasza swoje nowe telefony około września, a powyższe dane SellCell pokazują, że nawet 12 Pro Max (512 GB) stracił na wartości 220 USD we wrześniu.
W rzeczywistości przeglądanie wartości dla każdego modelu iPhone'a 11 i iPhone'a 12 daje podobny obraz. Chociaż nie wszystkie modele iPhone'a straciły tę samą wartość procentową, każdy z nich odnotował amortyzację we wrześniu.
Prawdopodobnie zaskoczyło to wielu właścicieli iPhone'ów… a przynajmniej tych, którzy chcą wymienić swój iPhone na wersję przed iPhonem 13. Widząc pewne odzyskanie utraconej wartości w lipcu 2021 r., Właściciele iPhone'a mogli być uśpieni fałszywym poczuciem bezpieczeństwa , tylko po to, by przekonać się, że wartość ich telefonu gwałtownie spadła, gdy iPhone 13 był powszechnie znany.
Ten sam niewielki wzrost widzimy w listopadzie, a niektóre modele, takie jak iPhone 12 Mini 128 GB i 12 Pro Max 128 GB, odzyskują odpowiednio 39 i 46 USD. Jednak weź to z przymrużeniem oka, biorąc pod uwagę ogólną stratę między 1 września a 1 grudnia 2021 roku.

Powyższy wykres doskonale ilustruje tę utratę wartości. Jak widać, dane wartości SellCell pokazują wyraźny spadek wartości (średnio 11,9% lub 122,17 USD w gotówce). Wykres ilustruje również iPhone'a jako dziwną bestię, jaką jest, ponieważ wszystkie modele iPhone'a-12 odnotowały niewielką poprawę wartości tuż przed październikiem 2021 r.
Dlaczego to? Cóż, jak wiemy, wydanie iPhone'a 13 było pełne niepowodzeń z tyłu blokady COVID w 2021 roku. Połącz to z kolejnymi niedoborami komponentów i opóźnieniami logistycznymi, a Apple przyznaje, że nie jest w stanie zaspokoić popytu dzięki dostawom świeżo upieczonych iPhone'ów 13s. Wynik? Popyt na iPhone'a 12 ponownie wzrósł, co oznacza, że wzrosła jego wartość w porównaniu z pierwotną sugerowaną ceną detaliczną.
Co więcej, było to tuż przed świętami Bożego Narodzenia, kiedy wartości telefonów mają tendencję do wzrostu wraz ze wzrostem popytu, ponieważ ludzie gromadzą się, aby kupić prezenty świąteczne.


iPhone 11 również odnotował amortyzację między 1 września a 1 listopada. Seria 11 straciła średnio 81,33 USD, czyli 8,0% swojej wartości.
Ponownie jednak widzimy, że niektóre modele odzyskują wartość w ostatnich dniach września, podobnie jak seria 12. Jednak podczas gdy wszystkie modele iPhone'a 12 odnotowały niewielkie odzyskanie wartości, tylko iPhone 11 Pro 512 GB, Pro 256 GB, Pro 64 GB, 11 128 GB i 11 64 GB odnotowały jakikolwiek wzrost wartości pod koniec września. iPhone 11 128 GB faktycznie odzyskiwał wartość do 1 grudnia.
Ponownie jednak SellCell podkreśla, że ta niewielka poprawa jest znacznie wyższa od ogólnej straty. Nie oczekuj, że wymienisz swojego iPhone'a 12 na oryginalną sugerowaną cenę detaliczną lub w jej pobliżu. Jeśli chcesz sprzedać swojego iPhone'a i zdobyć iPhone'a 14, zrób to raczej wcześniej niż później, aby uniknąć tej straty.

W ujęciu procentowym, gdzie leży szkoda już po miesiącu. Na przykład iPhone Pro Max 512 GB traci kolejne 15,7% swojej wartości między 1 września a 1 października. Podobnie wersja 256 GB traci kolejne 14,2% pozostałej wartości w tym samym czasie. Są to flagowe produkty Apple, a właściciele nie będą lekceważyć wartości ich smartfonów, które tak gwałtownie spadają.

Ten trend utrzymuje się, gdy przechodzimy do 1 listopada. W tym momencie iPhone 12 Pro Max 512 GB stracił 16,5% swojej wartości od 1 września, a model 256 GB stracił 15,1%. Inne modele cierpią ten sam los, np. iPhone 12 Mini 64GB stracił na wartości z 7,2% do 11,7%.

Seria iPhone'ów 11 zachowywała się jednak nieco nieregularnie, gdy spojrzymy na miesiące wrzesień i październik. Jak widać, między 1 września a 1 października 2021 modele z tej serii straciły od 4,8% do 14,1% swojej wartości.

Ten trend utrzymuje się w przypadku większości telefonów z tej serii, przy czym w przypadku iPhone'a 11 Pro Max 512 GB spadek wartości wynosi od 4,8% pod koniec września do 5,9% w listopadzie. Jednak niektóre telefony, takie jak iPhone 11 256 GB, faktycznie odzyskały pewną wartość, wykazując 14,1% amortyzacji we wrześniu i 11,3% w październiku.
Te trendy są takie same, jeśli spojrzymy na telefony w „dobrym” stanie.
Zalecenia
Biorąc pod uwagę powyższe trendy, SellCell może zalecić, jaki powinien być Twój następny kierunek działania, jeśli rozważasz wymianę swojego iPhone'a.
Głównym wnioskiem jest to, że właściciele iPhone'a powinni otrzymać wartość wcześniej niż później. Wartość iPhone'a będzie spadać, im bliżej do premiery iPhone'a 14 we wrześniu. Gdy Apple przeprowadzi coroczną wrześniową prezentację, wartość iPhone'a poprzedniej generacji spadnie jeszcze bardziej.
Korzystanie z usługi porównywania cen, takiej jak SellCell, oznacza, że właściciele iPhone'a mogą zobaczyć wartość swojego telefonu u różnych dostawców usług odkupu. Wszyscy sprzedawcy na SellCell pozwolą klientom zablokować cenę. Jeśli właściciele iPhone'a znajdą sprzedawcę, któremu mogą sprzedać iPhone'a 13, i zablokować cenę na okres do 28-30 dni, być może będą w stanie to pobić nagły spadek cen w połowie września, co według SellCell nastąpi w 2022 r., podobnie jak w 2021 r. w przypadku iPhone'a 12 i 11.
Czy iPhone 13 Value spadnie przed 14 rokiem?
Na tym etapie trudno powiedzieć, jak iPhone 13 (i wcześniejsze modele) będzie się zachowywał, gdy Apple zaprezentuje iPhone’a 14. Jednak patrząc na przeszłe trendy z Apple, SellCell zidentyfikował punkt, w którym iPhone straci jeszcze więcej jego wartości, więc właściciele mogą uniknąć spadku wartości, jeśli handlują sprytnie i nie zawieszają ognia zbyt długo.
Ponieważ zamiar zakupu iPhone'a 14 nie jest tak olśniewający, jak niektórzy mogą się spodziewać, być może seria iPhone'a 13 pozostanie prężna i przeciwstawi się trendowi, który widzieliśmy w 2021 roku.
Metodologia
SellCell przeanalizował deprecjację wartości telefonów iPhone 11 i 12 w okresie od 1 czerwca 2021 r. do 1 grudnia 2021 r., aby ustalić trendy amortyzacji przed, w trakcie i po premierze serii iPhone 13 oraz przewidzieć jak premiera iPhone’a 14 może wpłynąć na amortyzację w 2022 roku.
