Характеристики батареи LiFePo4
Опубликовано: 2023-02-06По сравнению с традиционными вторичными батареями на водной основе, такими как свинцово-кислотные, никель-водородные и никель-кадмиевые батареи, литий-ионные батареи LiFePO4 имеют преимущества длительного срока службы и высокой плотности энергии, а также высокой безопасности батареи. Аккумуляторы LiFePO4 стали самой многообещающей аккумуляторной системой среди различных аккумуляторных систем. Таким образом, батареи LiFePO4 широко используются в источниках питания электромобилей, крупномасштабных накопителях энергии, базовых станциях связи, электрических велосипедах и системах солнечных батарей. В этой статье в основном исследуются и подробно рассматриваются срок службы, высокая скорость зарядки-разрядки, безопасность акупунктуры и весовая плотность энергии литий-ионных аккумуляторов LiFePO4.
Связанный пост: Техническое обслуживание электромобилей в жаркие месяцы
1. Цикличность батареи LiFePO4
Являясь одним из ключевых компонентов электромобилей, аккумуляторы составляют около половины стоимости электромобилей. Поэтому срок службы батареи напрямую определяет стоимость использования электромобилей. Из-за стабильных химических свойств положительных и отрицательных материалов аккумуляторов LiFePO4 объем заряда и изменение напряжения в процессе разряда очень малы, поэтому срок службы очень велик. На рис. 1 показано, что литий-ионный аккумулятор емкостью 20 Ач 12 В заряжается током от 1C до 3,65 В, а затем преобразуется в постоянное напряжение до тех пор, пока ток не упадет до 0,02C; ток разряда 1С, срок службы при условии напряжения отсечки 2,0В (глубина заряда и разряда 100%).

Рисунок 1 показывает, что остаточная емкость батареи по-прежнему составляет более 80% от начальной емкости после того, как цикл превышает 1600 раз. Хотя текущая стоимость батарей питания LiFePo4 немного выше, чем у свинцово-кислотных батарей, более длительный срок службы батарей значительно снизит расходы на использование и обслуживание электромобилей.
2. Производительность разряда с разной скоростью
Поскольку на практике батареи LiFePO4 могут разряжаться с разной скоростью, разрядная емкость в некоторых системах батарей быстро снижается по мере увеличения тока разряда. Поэтому, чтобы понять характеристики разрядки аккумуляторов LiFePO4 при высоких скоростях, разрядите аккумулятор LiFePO4 емкостью 20 Ач при 0,5°C, 1°C и 3°C соответственно. Результаты показаны на рисунке 2.

Из рисунка 2 видно, что при увеличении тока разряда с 0,5С до 3С разрядная емкость аккумулятора снижается незначительно, но только менее чем на 5%, что говорит о том, что литий-железо-фосфатный аккумулятор по-прежнему хорош на высоких скоростях. работает. В то же время скорость разряда 3C может удовлетворить потребности электромобилей в условиях высокой скорости разряда, поэтому электромобили обладают сильными способностями к набору высоты и ускорению.
Читайте также: Как смарт-контракты меняют способы ведения бизнеса?
3. Высокая мощность зарядки
Быстрая зарядка аккумулятора может привести к тому, что электромобили будут использовать методы аварийной зарядки в непредвиденных ситуациях, что более удобно для использования электромобилей. На рис. 3 показаны результаты испытаний аккумулятора фактической емкостью 20 Ач, заряженного током 3С, достигающим 3,65 В, а затем переведенного на заряд постоянным напряжением.

Из рисунка 3 видно, что емкость аккумулятора изменяется линейно во времени в начальной фазе зарядки. Он может достичь 55% емкости аккумулятора за 15 минут, 90% за 25 минут и более 95% за 30 минут. Это показывает, что аккумулятор LiFePO4 можно заряжать с большей скоростью, а аккумулятор можно полностью зарядить за короткое время.
Читайте также: 10 лучших инструментов A/B-тестирования, которые помогут увеличить ваш бизнес
4. Безопасность аккумуляторов LiFePO4
Материалы LiFePO4 химически очень стабильны, особенно стабильны при высоких температурах. Даже очень высокие температуры не могут разлагаться с выделением кислорода, поэтому показатели безопасности литий-железо-фосфатных батарей очень хорошие. Они не легко сжечь и взорваться и другие опасности.

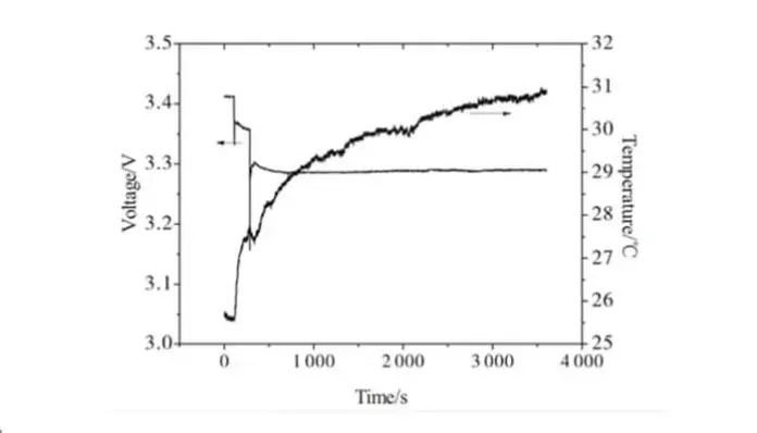
Благодаря хорошему структурному дизайну безопасность была дополнительно улучшена, так что батарея не сгорит или не взорвется в случае удара, укола иглой, короткого замыкания и т. д. гвоздь диаметром 8 мм быстро протыкал батарейный блок, и регистрировались изменения напряжения и температуры аккумуляторного блока.

Как видно из рисунка 4, в начале введения гвоздя из-за внутреннего короткого замыкания быстро падает напряжение батареи, выделяется некоторое количество тепла и повышается температура.
Однако, поскольку после прокалывания внутренний вакуум батареи значительно падает, контактная часть короткого замыкания деформируется, и возникает плохой контакт. В этот момент тепло уже не выделяется, поэтому напряжение имеет тенденцию стабилизироваться, а температура батареи повышается лишь незначительно.
5. Плотность энергии батареи LiFePO4
Плотность энергии веса является важным показателем производительности батареи. На рис. 5 показано, что литий-железо-фосфатный аккумулятор емкостью 20 Ач полностью заряжен, а скорость разряда 0,3°C составляет 2,0 В. Кривая разряда может быть интегрирована для получения энергии, выделяемой батареей.
После интегрального расчета литий-железо-фосфатная батарея емкостью 20 Ач выделила 70,7 Втч энергии. Вес батареи составляет 580 г, поэтому весовая плотность энергии литий-железо-фосфатной батареи может быть рассчитана как 121,90 Втч/кг.

Читайте также: 10 лучших преимуществ использования диаграммы PERT для планирования проекта
6. Разряд батареи LiFePo4 при разных температурах
Из-за больших региональных различий в использовании электромобилей в некоторых местах зимой бывают низкие погодные условия, и низкая температура неизбежно окажет определенное влияние на работу аккумуляторов.
Таким образом, чтобы понять характеристики разряда аккумуляторов LiFePO4 при низких температурах, тестом будет аккумулятор LiFepP4 емкостью 20 Ач, хранящийся при температуре -20 ℃, -10 ℃, 0 ℃, 25 ℃ и 55 ℃ в течение 20 часов. Затем в этой низкотемпературной среде на 0,3 ° C раз больше скорости разряда (при комнатной температуре, 0,3 ° C разрядная мощность 100%). Результаты показаны на рисунке 6.

На Рисунке 6 показано, что батарея LiFePO4 может высвобождать только около 55% своей емкости при комнатной температуре при -20°C, поэтому это может отрицательно сказаться на работе электромобилей. Тем не менее, разрядная емкость одной батареи снижается с понижением температуры. Электромобили обычно объединяют сотни батарей, и когда батарея работает, выделяется некоторое количество тепла, и температура батареи должна повышаться.
Следовательно, в батареях при практическом применении проблема низкотемпературного разряда не является серьезной. Во время испытания из-за большой открытой удельной поверхности одной батареи температура была такой же, как и температура окружающей среды, что сильно повлияло на разрядную емкость. При более высоких температурах батареи LiFePO4 менее подвержены влиянию. Например, разрядная емкость аккумулятора при 55°C немного увеличивается по сравнению с 25°C.
Приведенное выше исследование показывает, что литий-железо-фосфатная батарея имеет длительный срок службы, высокую безопасность и плотность энергии. В то же время, поскольку в литиевой батарее RV не используются свинец, кадмий, ртуть, шестивалентный хром и другие токсичные тяжелые металлы во всем производственном процессе, упаковочные материалы батареи не содержат полибромированные бифенилы и полибромированные дифениловые эфиры, а LiFePO4 батарея также более экологична. Таким образом, литий-железо-фосфатная батарея найдет более широкое применение в электромобилях и крупных химических накопителях энергии.
